产品中心
Product Center
产品搜索
当前页面: 首页 > 产品展示 2-辛基-4-异噻唑啉-3-酮(OIT)
产品编码:204
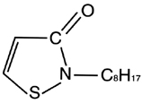
产品名称: 2-辛基-4-异噻唑啉-3-酮 (OIT)
CAS NO.: 26530-20-1
分子式: C11H19NOS
分子量: 213.3
结构式:
百瑞彩票质量标准:
百瑞彩票外观: 淡黄至琥珀色透明液体。
PH 值 (1% 水溶液) : 4.0-7.0
百瑞彩票密度: 1.01-1,05
百瑞彩票活性含量: 45%,, 99%
稳定性: 易溶于有机溶剂,塑料
百瑞彩票应用范围: 本产品为液态,溶于有机溶剂,微溶于水,是一种低毒、高效、广谱型防霉剂,对霉菌具有很强的杀灭作用,能达到理想的防霉效果,可广泛应用于涂料、油漆、润滑油、鞋油、皮革化学、木材制品和文物保护等诸多产品中。无 VOC ,强光和高温下稳定,杀菌广谱高效,可有效防止塑料中的细菌和真菌。使用时若溅于皮肤,要及时用清水冲洗,以免过敏或灼伤。
百瑞彩票包装: 25KG或200KG 塑料桶
上一条产品: 2-甲基-4-异噻唑啉-3-酮(MIT)
下一条产品: 4,5-二氯-2-辛基-4-异噻唑啉-3-酮 (DCOIT)

